
Додаткові освітні послуги
Згідно з:
- пунктом 3 статті 78 розділу Х Закону України "Про освіту" № 2145-VIII від 05.09.2017,
- пунктом 4 статті 43 розділу VIII Закону України "Про середню загальну освіту" № 651-14 в редакції від 28.09.2017,
- підпунктом 14 пункту 1 Постанови Кабінету Міністрів України "Про затвердження переліку платних послуг, які можуть надаватися навчальними закладами, іншими установами та закладами системи освіти, що належать до державної і комунальної форми власності" № 796-2010-п в редакції від 29.04.2017,
- рішенням Конференції колективу Ліцею
КЗ "Харківський університетський ліцей Харківської міської ради" надає платні додаткові освітні послуги.
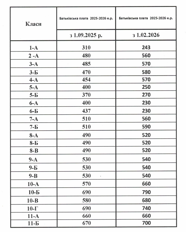
Надання платних додаткових освітніх послуг відбувається на підставі Договору з батьками учнів (текст договору).
Оплатити додаткові освітні послуги ви можете за реквізитами:
р/р UA928201720314231003201032322 , 820172 Держказначейська служба України, м. Київ. Код 19461353:
Благодійні внески за реквізитами: р/р UA228201720314241003301032322, 820172 Держказначейська служба України, м. Київ. Код 19461353: